Question No: 1 ( Marks: 1 ) – Please choose one
In the statement int x[6]; , we cannot assign any value to x because x is not an lvalue.
► True
► False
Question No: 2 ( Marks: 1 ) – Please choose one
What will be postfix expression of the following infix expression?
Infix Expression : a+b*c-d
► ab+c*d-
► abc*+d-
► abc+*d-
► abcd+*-
Question No: 3 ( Marks: 1 ) – Please choose one
Which one of the following calling methods does not change the original value of the argument in the calling function?
► None of the given options
► Call by passing the value of the argument
► Call by passing reference of the argument
► Call by passing the address of the argument
Question No: 4 ( Marks: 1 ) – Please choose one
In a program a reference variable, say x, can be declared as
► int &x ;
► int *x ;
► int x ;
► None of the given options
Question No: 5 ( Marks: 1 ) – Please choose one
A tree is an AVL tree if
► Any one node fulfills the AVL condition
► At least half of the nodes fulfill the AVL condition
► All the nodes fulfill the AVL condition
► None of the given options
Question No: 6 ( Marks: 1 ) – Please choose one
Consider the following pseudo code
declare a stack of characters
while ( there are more characters in the word to read )
{
read a character
push the character on the stack
}
while ( the stack is not empty )
{
pop a character off the stack
write the character to the screen
}
What is written to the screen for the input “apples”?
► selpa
► selppa
► apples
► aaappppplleess
Question No: 7 ( Marks: 1 ) – Please choose one
In the following C++ code, how many function calls are made?
int x, y, z;
x = 2;
y = 3 + x;
z = foobar(x,y);
► 1
► 4
► 7
► 8
Question No: 8 ( Marks: 1 ) – Please choose one
We can add elements in QUEUE From _________
► Front
► Rear
► From Both Rare and Front
► None of these
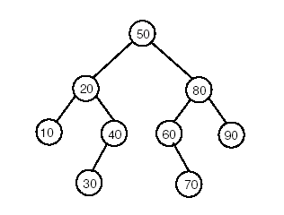
Question No: 9 ( Marks: 1 ) – Please choose one
Consider the following tree.
How many of the nodes have at least one sibling?
► 8
► 7
► 5
► 6
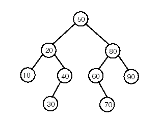
Question No: 10 ( Marks: 1 ) – Please choose one
Consider the following tree.
How many descendants does the root have?
► 5
► 6
► 7
► 8
Question No: 11 ( Marks: 1 ) – Please choose one
Below is a binary search tree. If we delete the value 50 using the algorithm we discussed, what value will be in the root of the remaining tree?
► 50
► 60
► 70
► 80
Question No: 12 ( Marks: 1 ) – Please choose one
We access elements in AVL Tree in,
► Linear way only
► Non Linear way only
► Both linear and non linear ways
► None of the given options.
Question No: 13 ( Marks: 1 ) – Please choose one
Which of the following statement regarding binary tree is NOT correct.
► A binary tree can contain at least 2L Nodes at level L.
► A complete binary tree of depth d is a binary tree that contains 2L Nodes at each level L between 0 and d, both inclusive.
► The total number of nodes (Tn ) in a complete binary tree of depth d is 2 d+1 – 1 .
► The height of the complete binary tree can be written as h = log 2 (Tn+1)-1 where Tn is Total number of Nodes.
Question No: 14 ( Marks: 1 ) – Please choose one
The following are statements related to queues.
(i) The last item to be added to a queue is the first item to be removed
(ii) A queue is a structure in which both ends are not used
(iii) The last element hasn’t to wait until all elements preceding it on the queue are removed
(iv) A queue is said to be a last-in-first-out list or LIFO data structure.
Which of the above is/are related to normal queues?
► (iii) and (ii) only
► (i), (ii) and (iv) only
► (ii) and (iv) only
► None of the given options
Question No: 15 ( Marks: 1 ) – Please choose one
The________method of list data structure removes the element residing at the current position.
► Add
► next
► remove
► find
Question No: 16 ( Marks: 1 ) – Please choose one
it will be efficient to place stack elements at the start of the list because insertion and removal take _______time.
► Variable
► Constant
► Inconsistent
► None of the above


