Question No: 1 ( Marks: 1 ) – Please choose one
Random access machine or RAM is a/an
► Machine build by Al-Khwarizmi
► Mechanical machine
► Electronics machine
► Mathematical model
Question No: 2 ( Marks: 1 ) – Please choose one
_______________ is a graphical representation of an algorithm
► notation
► notation
► Flowchart
► Asymptotic notation
Question No: 3 ( Marks: 1 ) – Please choose one
A RAM is an idealized machine with ______________ random-access memory.
► 256MB
► 512MB
► an infinitely large
► 100GB
Question No: 4 ( Marks: 1 ) – Please choose one
What type of instructions Random Access Machine (RAM) can execute? Choose best answer
► Algebraic and logic
► Geometric and arithmetic
► Arithmetic and logic
► Parallel and recursive
Question No: 6 ( Marks: 1 ) – Please choose one
What is the solution to the recurrence T(n) = T(n/2)+n .
► O(logn)
► O(n)
► O(nlogn)
► O(n2)
Question No: 7 ( Marks: 1 ) – Please choose one
Consider the following code:
For(j=1; j<n;j++)
For(k=1; k<15;k++)
For(l=5; l<n; l++)
{
Do_something_constant();
}
What is the order of execution for this code.
► O(n)
► O(n3)
► O(n2 log n)
► O(n2)
Question No: 8 ( Marks: 1 ) – Please choose one
Consider the following Algorithm:
Factorial (n){
if (n=1)
return 1
else
return (n * Factorial(n-1))
}
Recurrence for the following algorithm is:
► T(n) = T(n-1) +1
► T(n) = nT(n-1) +1
► T(n)= T(n-1) +n
► T(n)=T(n(n-1)) +1
Question No: 9 ( Marks: 1 ) – Please choose one
What is the total time to heapify?
► Ο(log n)
► Ο(n log n)
► Ο(n2 log n)
► Ο(log2 n)
Question No: 10 ( Marks: 1 ) – Please choose one
When we call heapify then at each level the comparison performed takes time
► It will take Θ (1)
► Time will vary according to the nature of input data
► It can not be predicted
► It will take Θ (log n)
Question No: 11 ( Marks: 1 ) – Please choose one
In Quick sort, we don’t have the control over the sizes of recursive calls
► True
► False
► Less information to decide
► Either true or false
Question No: 12 ( Marks: 1 ) – Please choose one
Is it possible to sort without making comparisons?
► Yes
► No
Question No: 13 ( Marks: 1 ) – Please choose one
If there are Θ (n2) entries in edit distance matrix then the total running time is
► Θ (1)
► Θ (n2)
► Θ (n)
► Θ (n log n)
Question No: 14 ( Marks: 1 ) – Please choose one
For Chain Matrix Multiplication we can not use divide and conquer approach because,
► We do not know the optimum k
► We use divide and conquer for sorting only
► We can easily perform it in linear time
► Size of data is not given
Question No: 15 ( Marks: 1 ) – Please choose one
The Knapsack problem belongs to the domain of _______________ problems.
► Optimization
► NP Complete
► Linear Solution
► Sorting
Question No: 16 ( Marks: 1 ) – Please choose one
Suppose we have three items as shown in the following table, and suppose the capacity of the knapsack is 50 i.e. W = 50.
|
Item |
Value |
Weight |
|
1 |
60 |
10 |
|
2 |
100 |
20 |
|
3 |
120 |
30 |
The optimal solution is to pick
► Items 1 and 2
► Items 1 and 3
► Items 2 and 3
► None of these
Question No: 17 ( Marks: 2 )
Describe an efficient algorithm to find the median of a set of 106 integers; it is known that there are fewer than 100 distinct integers in the set
Question No: 18 ( Marks: 2 )
How we can avoid unnecessary repetitions for recursive calls?
Question No: 19 ( Marks: 2 )
Draw the cost table for chain matrix multiplication problem with initial state.
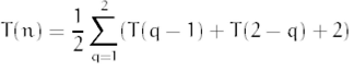
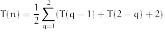
Question No: 20 ( Marks: 3 )
Solve it,
Question No: 21 ( Marks: 3 )
What are Catalan numbers? Give the formula.
Question No: 22 ( Marks: 5 )
What is the effect of calling Max-Heapify(A, i) when i > heap-size[A]/2?
Question No: 23 ( Marks: 5 )
Write the pseudo code for 0/1 knapsack algorithm developed using dynamic programming technique.
