Friday , 15 May 2026

MTH301 Assignment no 2 Solution provided by VU

DON’T MISS THESE Important instructions: 

  • All students are directed to use the font and style of text as is used in this document.
  • This is an individual assignment, not group assignment, so keep in mind that you are supposed to submit your own, self made & different assignment even if you discuss the questions with your class fellows. All similar assignments (even with some meaningless modifications) will be awarded zero marks and no excuse will be accepted. This is your responsibility to keep your assignment safe from others.

  • There are 4 questions in the assignment but only one question will be graded. However we are not mentioning that which question will be graded so you have to provide the solution of all 4 questions.

Solve the assignment on MS word document and upload your word (.doc) files

 

Solution Question by Question:-

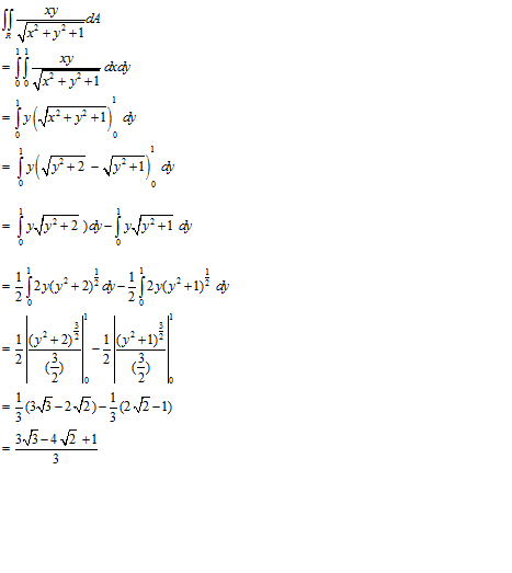
Solution Question 1

MTH301 assignment no 2 Solution by VU

 

Solution Question 2

MTH301 assignment no 2 Solution by VU

 

 


3

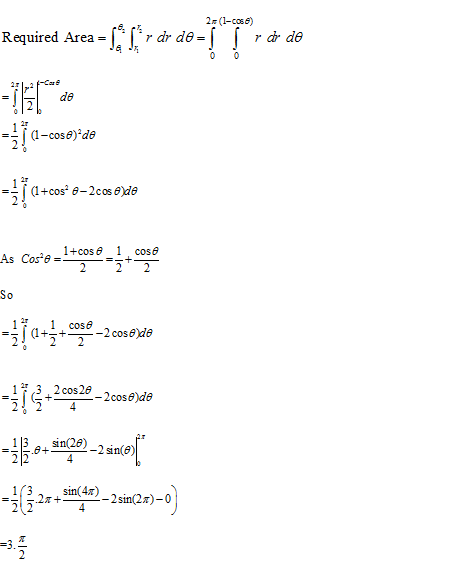
Solution Question 3

MTH301 assignment no 2 Solution by VU

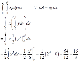
Solution Question 4

MTH301 assignment no 2 Solution by VU

Check Also

MTH301 GDB 1 Fall 2012 (06 February 2012)

Total Marks 5 Starting Date Wednesday, February 06, 2013 Closing Date Thursday, February 07, 2013 …

Leave a Reply

Your email address will not be published. Required fields are marked *

*